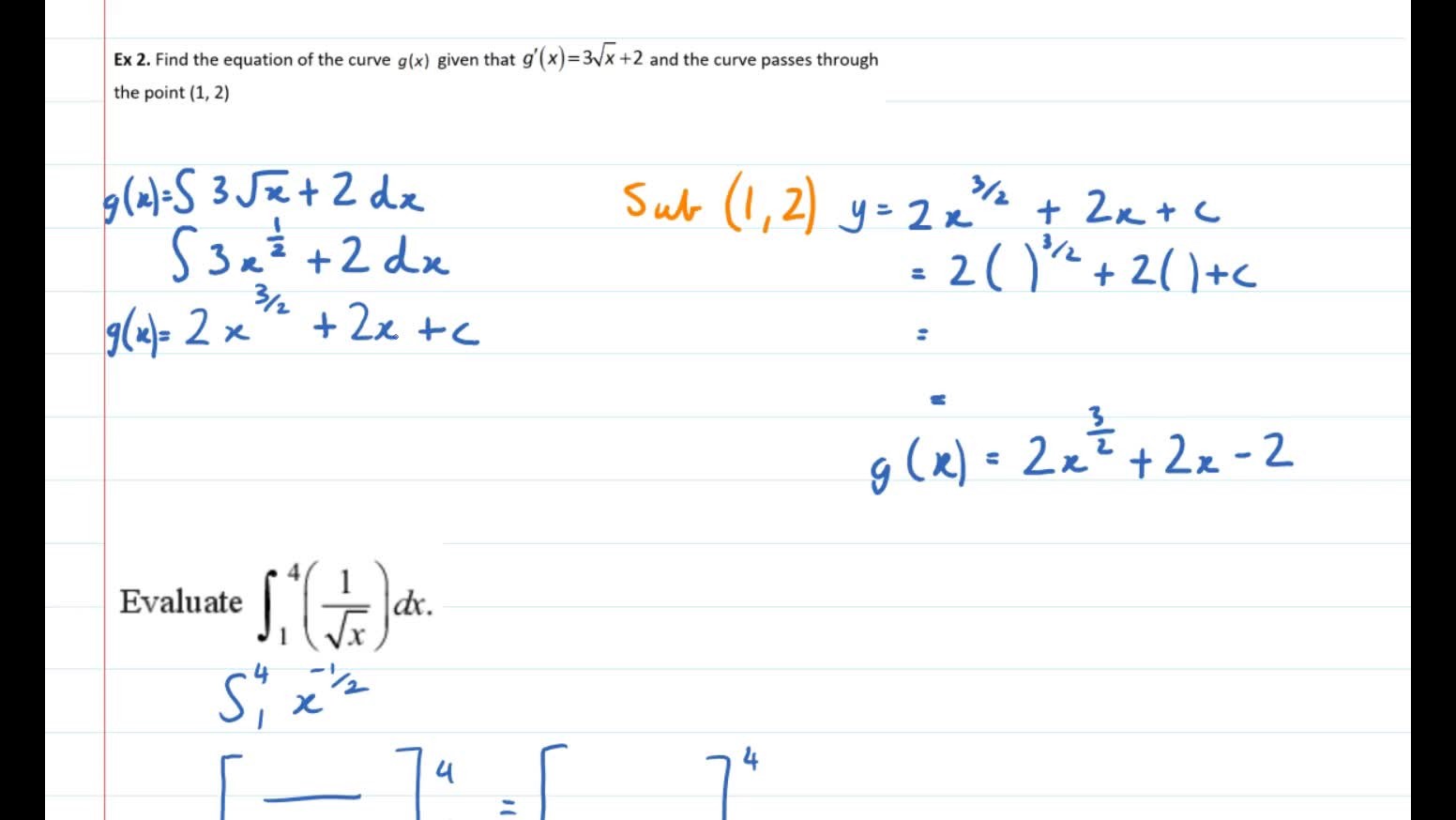
Video 12 Methods - Integration - Indefinite Integrals Review

12 Methods - Integration - Indefinite Integrals Review

Sign in to watch